How to Trade Forex With $100 for Beginners

How to trade forex with $100 for beginners is a common question among new traders who want to start with small capital. The good news is that forex trading with $100 is possible if you follow proper risk management and a simple strategy.
If you want to learn advanced strategies, check out our professional trading courses designed for beginners and intermediate traders.
What is Forex Trading?
Forex trading is the process of buying and selling currencies to make profit. If you are learning how to trade forex with $100 for beginners, you must first understand how the forex market works and what moves price.
Can You Trade Forex With $100?
Yes, you can learn start forex trading with small capital , but you need discipline. Small accounts require proper planning, patience, and controlled risk.
How to Trade Forex With $100 for Beginners Step by Step
If you want to understand forex for beginners with low budget, follow these steps:
- Choose a trusted broker
- Start with a demo account
- Use a simple strategy
- Risk only 1–2% per trade
Risk Management in Forex Trading
When learning how to trade forex with $100 for beginners, risk management is the most important factor.
- Always use stop loss
- Avoid overtrading
- Protect your capital
Best Strategy for Small Accounts
A simple strategy works best when learning how to trade forex with $100 for beginners:
- Trade with trend
- Use support and resistance
- Wait for confirmation
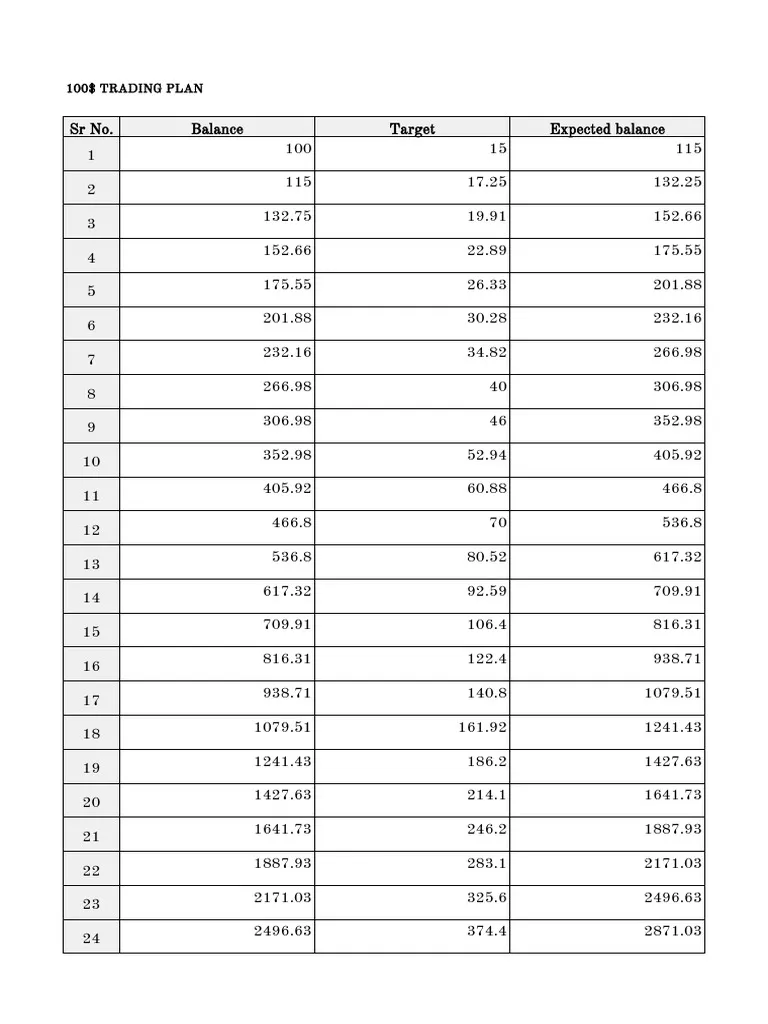
How Much Can You Make With $100?
Many beginners ask how to trade forex with $100 for beginners and expect fast profits. In reality:
- 5–10% monthly growth is realistic
- Consistency is more important than profit
Common Mistakes to Avoid
While learning how to trade forex with $100 for beginners, avoid:
- High leverage
- No stop loss
- Emotional trading
Real Example of Forex Trading With $100
In real scenarios, traders who learn how to trade forex with $100 for beginners focus on small gains and consistent growth instead of risky trades.
Internal & External Learning Resources
To improve your skills, also read:
Check our guide on how to trade XAUUSD for better trading understanding.
Learn more about forex trading basics from Investopedia.
You can also view real trading results and performance in Saim Baloch’s portfolio to understand how professional traders manage and grow their accounts.
Conclusion
How to trade forex with $100 for beginners is possible if you stay disciplined, manage risk, and follow a simple plan. Focus on consistency and long-term growth instead of quick profits.